Graph Topological Sorting
This is a well known problem in graph world. Topological sort is to put vertices in order and output a list of vertices in such an order that vertices are in order of dependencies. i.e. The vertices comes first is the independent one, then list the one which are dependent on those.
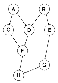
In above Directed Graph, following can be possible topological sort order:
A B C D E F G H
OR
A C B E G D F H
OR
B E G A D C F HBuild System Example
The usage of this sort is in the Build system. A build system is where there are different projects or modules are to built. And, it is to decide which module to build first so that updated module can be integrated in the dependent project or module.
Code
class Node {
//to represent a Vertex
public String name;
public List<Node> connectedNodes;
//...some other data
public List<Node> adj() {
return this.connectedNodes;
}
}
class Graph {
private List<Node> nodes;
public List<Node> nodes() {
return this.nodes;
}
}
public Stack<Node> topological(Graph g) {
//assumming Graph has method nodes() which gives list of all nodes.
List<Node> nodes = g.nodes();
//Set to keep track of visited nodes
Set<Node> visited = new HashSet();
//For keeping nodes in order
Stack<Node> stack = new Stack();
for (Node node : nodes) {
helper(node, visited, stack);
}
}
private void helper(Node node, Set visited, Stack stack) {
if (visited.contains(node)) {
continue;
}
//mark node visited
visited.add(node);
//visit all attached nodes with this vertices
//Assumming there is a method adj() which gives connected nodes to a vertex
for (Node n : node.adj()) {
//recursively visit each node's connected vertices
helper(n, visited, stack);
}
//all connected vertices are exhausted.
//Lets add this to our order list
stack.add(node);
}
//main
Stack<Node> stack = topological(graph);
//print stack
Complexity
Its O(n)












